Odstředivá čerpadla

Lekce 1: Horizontální čerpadlo

Tato lekce popisuje základní postup při návrhu a konstrukci horizontálního odstředivého čerpadla.

Kapitola 1: Princip funkce stroje a jeho použití

Tato čerpadla jsou podskupinou lopatkových strojů. V těchto strojích se mechanická energie mění v energii tlakovou a kinetickou. Lopatkové stroje mají oproti pístovým strojům výhodu plynulejšího průtoku čerpané kapaliny, rovnoměrného chodu a podstatně vyšších otáček.
Podle orientace polohy hřídele je dělíme na vertikální a horizontální. Dle směru průtoku čerpané kapaliny je dále dělíme na radiální, diagonální a axiální.
Použití odstředivých čerpadel zahrnuje mnoho oblastí. Vyskytují se tam, kde je nutno dopravovat kapaliny. Z charakteru dopravovaných kapalin vyplývají nejen různá technická provedení čerpadel, ale také požadavky na materiály základních částí. 

Kapitola 2: Základní části stroje

Typickým představitelem jednoduchého radiálního odstředivého čerpadla je kozlíkové čerpadlo.
DWF - Horizontální odstředivé čerpadlo (kozlíkové čerpadlo)
Flash animace postupů tvorby jednotlivých částí stroje
Obrázek: Kozlíkové čerpadlo
1 - oběžné kolo, 2 - spirální skříň (rozvaděč), 3 - hřídel, 4 - stojan kozlíkového tvaru, 5 - sací hrdlo, 6 - výtlačné hrdlo, 7 - ucpávka, 8 - ložisko
 
Čerpadlo můžeme rozdělit na:
  1. statorovou část
Obrázek: Statorová část odstředivého čerpadla
1 - sací hrdlo, 2 - spirála (rozvaděč), 3 - výtlačné hrdlo, 4 - těleso koníka, 5 - přední víčko, 6 - zadní víčko, 7 - zahlcovací kroužek, 8 - měkká ucpávka, 9 - brýle
 
  1. rotorovou část
Obrázek: Rotorová část odstředivého čerpadla
1 - krytka oběžného kola, 2 - oběžné kolo, 3 - pouzdro hřídele, 4 - hřídel, 5 - odstřikovací kroužek, 6 - plstěná ucpávka, 7 - ložiska  

Kapitola 3: Návrh základních rozměrů pracovních částí

Výpočet rozměrů oběžného kola - odvození
Při výpočtu vycházíme z podmínky, že kolo má nekonečný počet lopatek nekonečně tenkých. Tím je zajištěno, že jednotlivé částice kapaliny přesně sledují vnitřní kanál lopatky a nedochází k víření. Vzhledem k tomu, že ve skutečnosti k víření dochází, jsou do výpočtu zavedeny opravné koeficienty, které byly určeny na základě experimentů (empiricky).
V tomto případě je získaná měrná energie daná rovnicí
Zavedeme hydraulickou účinnost a obdržíme
Vlivem ztrát je získaná měrná energie menší
Obrázek: Rychlostní trojúhelník 
 
Pro čistě radiální vstup kapaliny do oběžného kola je úhel α1 = 90°, tedy cos α1= 0 a tedy bude platit
Zavedeme tlakový součinitel ψ. Tento součinitel zahrnuje vliv tloušťky lopatek a jejich konečný počet.
Součinitel ψ závisí na tom, zda je čerpadlo opatřeno difuzorem či není. Pro teoretickou měrnou energii platí také rovnice, vycházející z poměrů v tzv. rychlostních trojúhelnících.
Obrázek: Rychlostní trojúhelníky čerpadla
 
Součet dvou prvních členů udává teoreticky dosažitelnou tlakovou energii získanou v oběžném kole. Poslední člen udává měrnou kinetickou energii získanou v oběžném kole.
 
Celkový teoretický přetlak získaný v oběžném kole čerpadla pro nekonečný počet nekonečně tenkých lopatek je dán rovnicí
V obrázku jsou zakresleny úhly a rychlosti s indexem 3. Tyto znázorňují změnu rychlostí a úhlů vlivem konečného počtu lopatek. 

Příklad

Výpočet rozměrů oběžného kola - praktické řešení
  1. Příkon motoru čerpadla
Kde
výkon čerpadla P (W)
otáčky (1/s) f = 24,16
objemový průtok (m3/s) QV= 0,0875
měrná energie (J/kg) Y = 314
měrná hmotnost čerpané kapaliny (kg/m3) ρ = 998
celková účinnost ηc = 0,80
Tato účinnost se určuje pomocí tzv. Erhartova diagramu, který byl vytvořen na základě naměřených účinností různých druhů čerpadel. Pokud není tento diagram k dispozici je možno předběžně zvolit účinnost dle vlastní úvahy.
  1. Návrh průměru hřídele
Určíme kroutící moment
Volíme materiál hřídele: ocel 11 500
τDK = 25 (MPa), volíme 50 % tabulkové hodnoty s ohledem na zeslabení hřídele drážkou pro pero.
Volíme dhřídele = 36 (mm)
 
  1. Návrh průměru náboje oběžného kola
Na základě průměru hřídele volíme průměr náboje oběžného kola d0.
d0 = (1,6 až 1,8) . D
d0 = (1,6 až 1,8) . d = 1,7 . 36 = 61,2 (mm)
Volíme d0 = 62 (mm)
Pro určení dalších potřebných součinitelů vypočteme tzv. rychloběžnost čerpadla
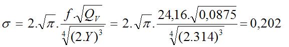
Dle vypočteného součinitele rychloběžnosti zvolíme z tabulky součinitel x = 2,5
 
Obrázek: Oběžná kola hydrodynamických čerpadel
kde x = D2/D0.
Volíme počet lopatek z = 8.
 
  1. Určení obvodové rychlosti na výstupu z oběžného kola
Kde Y1 = měrná energie jednoho stupně čerpadla
Ψ = 0,7 až 0,9 u čerpadel bez převaděče.
Volíme Ψ = 0,9
 
  1. Určení průměru oběžného kola na výstupu
 
Volíme D2 = 348 (mm)
Na základě již odečteného součinitele x vypočteme průměr kola D0
Volíme průměr kola D0 = 140 (mm)
 
  1. Rychlost na vstupu do oběžného kola
Velikost rychlosti v sacím hrdle určíme z průtoku požadovaného množství. Vzhledem k tomu, že u oběžného kola skrze vůle mezi oběžným kolem a statorem dochází ke zpětnému proudění, zvětšíme požadované průtočné množství o 10%.
Potom tedy platí
Absolutní vstupní rychlost volíme stejnou jako je rychlost v sacím hrdle čerpadla
c1 = c0 = 7,779 (m/s)
 
  1. Určení úhlu β1
Ze vstupního trojúhelníku stanovíme úhel β1, tedy úhel sklonu relativní rychlosti w1.
Vzhledem k tomu, že pro maximální hodnotu předané energie je β1 = 90°, potom cm1 = c1
Průměr oběžného kola D1 volíme stejný jako D0.
Potom D1 = D0 = 140 (mm)
Nejprve určíme velikost unášivé rychlosti u1.
Při stanovení její velikosti předpokládáme, že 10 % průtoku kapaliny skrze oběžné kolo se vrací na sání oběžného kola netěsnostmi mezi rotorem a statorem.
Bude tedy platit pro určení rychlosti c0
  1. Určení unášivé rychlosti u1 na vstupu do kanálu oběžného kola
  1. Stanovení šířky kanálu na vstupu do oběžného kola
Při stanovení šířky kanálu opět předpokládáme, že 10 % průtoku kapaliny skrze oběžné kolo se vrací na sání oběžného kola vlivem spár mezi rotorem a statorem.
Volíme součinitel zmenšení průtočného průřezu vlivem tloušťky oběžných lopatek (k1 = 0,85 až 0,9)
  1. Určení rychlostních poměrů na výstupní hraně lopatky
Rychlostní trojúhelník na výstupní hraně lopatky je vlivem konečného počtu lopatek deformován tak, že skutečný úhel β3 je menší než teoretický úhel β3.
Obrázek: Rychlostní trojúhelníky čerpadla
Nemění se rychlost u2 a meridiánová složka rychlost cm2 = cm3
Meridiánovou složku cm2 volíme o něco větší než je rychlost c1.
Složku rychlosti cu2 určíme na základě Eulerovy rovnice, hydraulickou účinnost ηh volíme v rozmezí 0,6 až 0,85.
U skutečného čerpadla je složka cu3 menší než cu2 a platí 
Velikost součinitele m se určí z diagramu v závislosti na počtu lopatek z a na poměru D2/D1. Počet lopatek volíme z = 8 v závislosti na součiniteli rychloběžnosti kola σ.
Obrázek: Diagram součinitele m
  1. Úhel lopatky β3 určíme z výstupního trojúhelníka na výstupu
Obrázek: Rychlostní trojúhelníky čerpadla
Z obrázku je zřejmé, že platí
  1. Šířku lopatky na výstupu b2 se určí obdobně jako na vstupu z rovnice průtoku
Součinitel zúžení kanálu vlivem konečné tloušťky lopatek k2= 0,9 až 0,95,
volíme k2 = 0,92
 
Z vypočtených rozměrů D1 a D2, a úhlů β1 a β3 se sestrojí tvar lopatky oběžného kola.
 
  1. Konstrukce tvaru lopatky oběžného kola
Obrázek: Konstrukce lopatky oběžného kola 
Ze středu S vedeme paprsek svírající s osou Y úhel (β1+β2), kde tento paprsek protne kružnici D1, obdržíme bod A. Spojíme bod 2 s průsečíkem A a na prodloužení přímky (2 – A), získáme bod 1. Bod 1 propojíme se středem S úsečkou (1 – S). Bodem 1 dále proložíme přímku, která svírá s úsečkou (S - 1) úhel β1.
Z bodu 2 vedeme přímku, která svírá s osou Y úhel β2. Kde tato přímka protne přímku vedenou z bodu 1 pod úhlem β1, je průsečík označen jako O. Tento průsečík je středem kružnice, která spojí bod 1 a 2, a tím vytvoří tvar lopatky.
 
  1. Konstrukce tvaru kanálu oběžného kola
Obrázek: Konstrukce tvaru kanálu OK
Nejprve nakreslíme přímky, které určují průměry d1, d0, D1, D2.
Tyto ohraničíme svislou přímkou, která je kolmá na osu.
Na přímku D2 naneseme úsečku b2. Dále sestrojíme kružnici se středem na přímce D1, která má průměr b1 a je tečná ke svislé přímce. Z bodu 1 vedeme tečnu ke kružnici. Tečný bod označíme jako bod 2. Kolmice na tečnu v bodě 2 protne kružnici v bodě 3. V bodě 3 sestrojíme kolmici, která protne přímku d0 v bodě 4. Úsečka (3 - 4) a přímka d0 svírají úhel α2. Rozpůlíme tento úhel a kde osa tohoto úhlu protne prodloužení úsečky (2-3) leží střed S2 kružnice o poloměru R2.
Obdobně postupujeme při zjištění středu kružnice o poloměru R1 se středem S1 na ose úhlu α1.
Obrázek: Hlavní rozměry OK čerpadla 

Kapitola 4: Cvičení

  1. Proveďte kompletní hydraulický návrh oběžného kola horizontálního odstředivého čerpadla pro zadané parametry. Hydraulický návrh doplňte pevnostním návrhem válcového konce hřídele z materiálu 11 500 (vliv přídavného ohybu kompenzujte snížením dovoleného napětí v krutu na 50 %) a kontrolou pera na otlačení (pD = 90MPa) - návrh pera lze řešit i v DESIGN ACCELERATOR. Otáčky hřídele n = 1450 min-1. Čerpaná kapalina je voda (ρ = 998 kg/m3). Další zadané parametry: objemový průtok Qv = 13,9 l/s, měrná energie Y = 78 J/kg, příkon P = 1,55 kW, celková účinnost ηc = 0,7. Výpočet zpracujte v MS Excel.
  2. Dle vypočtených, resp. navržených parametrů vymodelujte horizontální odstředivé čerpadlo a vytvořte k němu výkres sestavení.

Kapitola 5: Kontrolní otázky

  1. Jaký je rozdíl mezi radiálním, diagonálním a axiálním oběžným kolem?
  2. Jakou funkci v čerpadle plní převaděč?
  3. Jaký je rozdíl mezi úhlem β2 a β3?

Kapitola 6: Autotest

  1. Jaké hodnotě se rovná poměr x, jestliže rychloběžnost čerpadla σ = 0,06?



     
  2. Jaký zvolíme počet lopatek, když rychloběžnost čerpadla σ = 0,3?



     
  3. Kolik procent kapaliny se vrací na sání oběžného kola netěsnostmi mezi rotorem a statorem (přibližně)?



     
  4. Která z uvedených hodnot odpovídá skutečnosti, když koeficient κ = 2 a počet lopatek z = 8?



     
  5. Které z uvedených tvrzení platí?



     

Lekce 2: Vertikální čerpadlo

Tato lekce popisuje základní postup při návrhu a konstrukci vertikálního odstředivého čerpadla.

Kapitola 1: Princip funkce stroje a jeho použití

Tato čerpadla jsou podskupinou lopatkových strojů. V těchto strojích se mechanická energie mění v energii tlakovou a kinetickou. Lopatkové stroje mají oproti pístovým strojům výhodu plynulejšího průtoku čerpané kapaliny, rovnoměrného chodu a podstatně vyšších otáček.
Dle orientace polohy hřídele je dále dělíme na vertikální a horizontální. Dle směru průtoku čerpané kapaliny je dále dělíme na radiální, diagonální a axiální.
Použití odstředivých čerpadel zahrnuje mnoho oblastí. Vyskytují se v podstatě tam, kde je nutno dopravovat kapaliny. Z charakteru dopravovaných kapalin vyplývají nejen různá technická provedení čerpadel, ale také požadavky na materiály základních částí.
Základní parametry hydraulických strojů
Hlavní parametry jsou určující pro hydrodynamickou soustavu:
Průtok (objemový, neboť hustota kapalin je konstantní) Q (m3/s) je kvantitativní kinetický parametr, vyplývá z rovnice kontinuity.
Měrná energie Y ( J/kg ) je kvalitativní dynamický parametr, vyplývající z Bernoulliho rovnice.
Tzv. Přidružené parametry charakterizují blíže hydrodynamický stroj (vzhledem k jeho provozu):
Otáčky (frekvence otáčení) f (1/s) jsou mírou rychloběžnosti stroje a charakteristikou pohonu.
Účinnost (%) charakterizuje hospodárnost přeměny energie v hydraulickém stroji a je energetickým parametrem.
Měrná sací energie Ys ( J/kg ) je měřítkem kavitačních vlastností hydraulického stroje (sací schopnosti), je směrodatná pro jeho situování vzhledem k spodní hladině kapaliny v systému.
Použití:
Čerpadla mohou dopravovat vodu do maximální teploty 50°C a maximální kyselostí 6 pH při 20°C. Přípustné celkové znečištění s obsahem bahna a jiných nečistot nevydírající povahy je do 0,75 % objemového množství, z toho eventuelně pevných částic v sušině maximální 0,1 % o největším zrnění do 0,25 mm. Obsah nečistot a zejména stupeň jejich tvrdosti ovlivňují životnost čerpadla a proto při vyšších hodnotách znečištění je nutné počítat s přiměřeným stupněm opotřebení.
Konstrukce:
Čerpadla představují svislá čerpací soustrojí k umístění výlučně do suchých čerpadlových jímek s přítokem čerpané vody do čerpadla z odděleného vodního prostoru. Kompletní vertikální čerpadlo se skládá z části hydraulické a části mechanické. Spirální těleso je provedeno s tangenciálním výtlačným hrdlem a s opěrnými patkami pro zachycení hmotnosti statoru celé hydraulické části.
Na sací víko čerpadla je připojeno speciálně konstruované sací koleno s opěrnou patkou. Sací koleno spočívá na dně čerpadlové jímky na stavitelných podpěrách, které usnadňují demontáž a přístup k revizi oběžného kola přímo v jímce. Oběžné kolo je uzavřené konstrukce s jednostranným axiálním vstupem, upevněné na hřídeli letmo. U dvoustupňového čerpadla je druhé oběžné kolo předřazeno spirálnímu tělesu a převod vody z prvního do druhého oběžného kola se děje výměnným rozváděcím a převáděcím kolem. Oběžné kolo je oboustranně utěsněno, výměnnými těsnícími kruhy a hydraulicky odlehčeno, takže způsobuje pouze malé axiální zatížení rotoru.
U větších typů čerpadel s příkony cca nad 400 kW je obvyklé axiální (závisné) ložisko přímo v hnacím elektromotoru, kde zachycuje zbytkovou axiální sílu čerpadla i rotoru elektromotoru. Při tomto uspořádání je hnací elektromotor umístěn na podlaze strojovny a odpadá samostatný ložiskový závis. Přenos samotného krouticího momentu od poháněcího motoru na rotor čerpadla je poddajnou spojkou a děleným svislým hřídelem. Při kratších stavebních délkách je hřídel radiálně veden ve vodících ložiscích, vložených ve spojích svislého potrubí. Vodící potrubí je dilatačním elementem spojeno posuvně i s ložiskovým závěsem. Ložiska vodícího potrubí jsou valivá s tukovým mazáním.
Vertikální odstředivé spirální čerpadlo
Jako vzor pro uvedený druh čerpadla bylo zvoleno čerpadlo HVBW. Co se týče výkonových parametrů vymodelovaného stroje, tyto byly zvoleny mimo původní rozsah daného čerpadla.
Obrázek: Vertikální odstředivé spirální čerpadlo
Čerpadlo je určeno zejména pro hlavní zásobovací čerpací stanice v průmyslových provozech, vodárenských zařízeních a závlahových soustavách vyžadujících výkonné čerpací jednotky.
Dopravuje čistou i částečně znečištěnou užitkovou vodu převážně pro hospodářskou potřebu měst, sídlišť, průmyslových závodů, energetických centrál a vodohospodářských objektů.
Čerpadla HVBW umožňovala i obrácený turbínový provoz (Francisova turbína) a především v druhé polovině osmdesátých let 20. století byla často nasazována na malých vodních elektrárnách.

Kapitola 2: Základní části stroje

DWF - Vertikální odstředivé spirální čerpadlo
Flash animace postupů tvorby jednotlivých částí stroje
Obrázek: Řez dvoustupňovým vertikálním čerpadlem
Na následujících obrázcích jsou zachyceny hlavní části konstrukce vertikálního čerpadla.
Obrázek: Celkový pohled
Obrázek: Řez
Obrázek: Tlakové přívody
Obrázek: Rotor
Obrázek: Sací hrdlo
Obrázek: Spirála čerpadla
Obrázek: Stator ložiska
Obrázek: Přechodový díl
Obrázek: Těleso ložiska
Obrázek: Těleso ložiska - řez
Obrázek: Oběžné kolo 

Kapitola 3: Návrh základních rozměrů pracovních částí

Výpočet rozměrů oběžného kola - odvození
Při výpočtu vycházíme z podmínky, že kolo má nekonečný počet lopatek nekonečně tenkých. Tím je zajištěno, že jednotlivé částice kapaliny přesně sledují vnitřní kanál lopatky a nedochází k víření. Vzhledem k tomu, že ve skutečnosti k víření dochází, jsou do výpočtu zavedeny opravné koeficienty, které byly určeny na základě experimentů (empiricky).
V tomto případě je získaná měrná energie daná rovnicí
Zavedeme hydraulickou účinnost a obdržíme
Vlivem ztrát je získaná měrná energie menší
Obrázek: Rychlostní trojúhelník 
 
Pro čistě radiální vstup kapaliny do oběžného kola je úhel α1 = 90°, tedy cos α1= 0 a tedy bude platit
Zavedeme tlakový součinitel ψ. Tento součinitel zahrnuje vliv tloušťky lopatek a jejich konečný počet.
Součinitel ψ závisí na tom, zda je čerpadlo opatřeno difuzorem či není. Pro teoretickou měrnou energii platí také rovnice, vycházející z poměrů v tzv. rychlostních trojúhelnících.
Obrázek: Rychlostní trojúhelníky čerpadla
 
Součet dvou prvních členů udává teoreticky dosažitelnou tlakovou energii získanou v oběžném kole. Poslední člen udává měrnou kinetickou energii získanou v oběžném kole.
 
Celkový teoretický přetlak získaný v oběžném kole čerpadla pro nekonečný počet nekonečně tenkých lopatek je dán rovnicí
V obrázku jsou zakresleny úhly a rychlosti s indexem 3. Tyto znázorňují změnu rychlostí a úhlů vlivem konečného počtu lopatek.

Příklad

Výpočet rozměrů oběžného kola - praktické řešení
  1. Příkon motoru čerpadla
Kde
výkon čerpadla P (W)
otáčky (1/s) f = 24,16
objemový průtok (m3/s) QV= 0,0875
měrná energie (J/kg) Y = 314
měrná hmotnost čerpané kapaliny (kg/m3) ρ = 998
celková účinnost ηc = 0,80
Tato účinnost se určuje pomocí tzv. Erhartova diagramu, který byl vytvořen na základě naměřených účinností různých druhů čerpadel. Pokud není tento diagram k dispozici je možno předběžně zvolit účinnost dle vlastní úvahy.
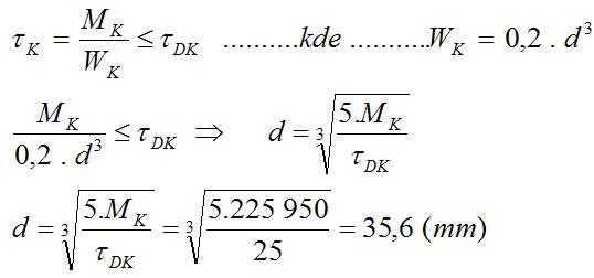
  1. Návrh průměru hřídele
Určíme kroutící moment
Volíme materiál hřídele: ocel 11 500
τDK = 25 (MPa), volíme 50 % tabulkové hodnoty s ohledem na zeslabení hřídele drážkou pro pero.
Volíme dhřídele = 36 (mm)
 
  1. Návrh průměru náboje oběžného kola
Na základě průměru hřídele volíme průměr náboje oběžného kola d0.
d0 = (1,6 až 1,8) . D
d0 = (1,6 až 1,8) . d = 1,7 . 36 = 61,2 (mm)
Volíme d0 = 62 (mm)
Pro určení dalších potřebných součinitelů vypočteme tzv. rychloběžnost čerpadla
Dle vypočteného součinitele rychloběžnosti zvolíme z tabulky součinitel x = 2,5
 
Obrázek: Oběžná kola hydrodynamických čerpadel
kde x = D2/D0.
Volíme počet lopatek z = 8.
 
  1. Určení obvodové rychlosti na výstupu z oběžného kola
Kde Y1 = měrná energie jednoho stupně čerpadla
Ψ = 0,7 až 0,9 u čerpadel bez převaděče.
Volíme Ψ = 0,9
 
  1. Určení průměru oběžného kola na výstupu
 
Volíme D2 = 348 (mm)
Na základě již odečteného součinitele x vypočteme průměr kola D0
Volíme průměr kola D0 = 140 (mm)
 
  1. Rychlost na vstupu do běžného kola
Velikost rychlosti v sacím hrdle určíme z průtoku požadovaného množství. Vzhledem k tomu, že u oběžného kola skrze vůle mezi oběžným kolem a statorem dochází ke zpětnému proudění, zvětšíme požadované průtočné množství o 10 %.
Potom tedy platí
Absolutní vstupní rychlost volíme stejnou jako je rychlost v sacím hrdle čerpadla
c1 = c0 = 7,779 (m/s)
 
  1. Určení úhlu β1
Ze vstupního trojúhelníku stanovíme úhel β1 tedy úhel sklonu relativní rychlosti w1.
Vzhledem k tomu, že pro maximální hodnotu předané energie je β1 = 90°, potom cm1 = c1
Průměr oběžného kola D1 volíme stejný jako D0.
Potom D1 = D0 = 140 (mm)
Nejprve určíme velikost unášivé rychlosti u1.
Při stanovení její velikosti předpokládáme, že 10 % průtoku kapaliny skrze oběžné kolo se vrací na sání oběžného kola netěsnostmi mezi rotorem a statorem.
Bude tedy platit pro určení rychlosti c0
  1. Určení unášivé rychlosti u1 na vstupu do kanálu oběžného kola
  1. Stanovení šířky kanálu na vstupu do oběžného kola
Při stanovení šířky kanálu opět předpokládáme, že 10 % průtoku kapaliny skrze oběžné kolo se vrací na sání oběžného kola vlivem spár mezi rotorem a statorem.
Volíme součinitel zmenšení průtočného průřezu vlivem tloušťky oběžných lopatek (k1 = 0,85 až 0,9)
  1. Určení rychlostních poměrů na výstupní hraně lopatky
Rychlostní trojúhelník na výstupní hraně lopatky je vlivem konečného počtu lopatek deformován tak, že skutečný úhel β3, je menší než teoretický úhel β3
Obrázek: Rychlostní trojúhelníky čerpadla
Nemění se rychlost u2 a meridiánová složka rychlost cm2 = cm3
Meridiánovou složku cm2 volíme o něco větší než je rychlost c1.
Složku rychlosti cu2 určíme na základě Eulerovy rovnice, hydraulickou účinnost ηh volíme v rozmezí 0,6 až 0,85.
U skutečného čerpadla je složka cu3 menší než cu2 a platí 
Velikost součinitele m se určí z diagramu v závislosti na počtu lopatek z a na poměru D2/D1. Počet lopatek volíme z = 8 v závislosti na součiniteli rychloběžnosti kola σ.
Obrázek: Diagram součinitele m
  1. Úhel lopatky β3 určíme z výstupního trojúhelníka na výstupu
Obrázek: Rychlostní trojúhelníky čerpadla
Z obrázku je zřejmé, že platí
  1. Šířku lopatky na výstupu b2 se určí obdobně jako na vstupu z rovnice průtoku
Součinitel zúžení kanálu vlivem konečné tloušťky lopatek k2= 0,9 až 0,95,
volíme k2 = 0,92
 
Z vypočtených rozměrů D1 a D2 a úhlů β1 a β3 se sestrojí tvar lopatky oběžného kola.
 
  1. Konstrukce tvaru lopatky oběžného kola
Obrázek: Konstrukce lopatky oběžného kola 
Ze středu S vedeme paprsek svírající s osou Y úhel (β1+β2), kde tento paprsek protne kružnici D1, obdržíme bod A. Spojíme bod 2 s průsečíkem A a na prodloužení přímky (2 – A), získáme bod 1. Bod 1 propojíme se středem S úsečkou (1 – S). Bodem 1 dále proložíme přímku, která svírá s úsečkou (S - 1) úhel β1.
Z bodu 2 vedeme přímku, která svírá s osou Y úhel β2. Kde tato přímka protne přímku vedenou z bodu 1 pod úhlem β1, je průsečík označen jako O. Tento průsečík je středem kružnice, která spojí bod 1 a 2, a tím vytvoří tvar lopatky.
 
  1. Konstrukce tvaru kanálu oběžného kola
Obrázek: Konstrukce tvaru kanálu OK
Nejprve nakreslíme přímky, které určují průměry d1, d0, D1, D2.
Tyto ohraničíme svislou přímkou, která je kolmá na osu.
Na přímku D2 naneseme úsečku b2. Dále sestrojíme kružnici se středem na přímce D1, která má průměr b1 a je tečná ke svislé přímce. Z bodu 1 vedeme tečnu ke kružnici. Tečný bod označíme jako bod 2. Kolmice na tečnu v bodě 2 protne kružnici v bodě 3. V bodě 3 sestrojíme kolmici, která protne přímku d0 v bodě 4. Úsečka (3 - 4) a přímka d0 svírají úhel α2. Rozpůlíme tento úhel a kde osa tohoto úhlu protne prodloužení úsečky (2-3) leží střed S2 kružnice o poloměru R2.
Obdobně postupujeme při zjištění středu kružnice o poloměru R1 se středem S1 na ose úhlu α1.
Obrázek: Hlavní rozměry OK čerpadla
Program:
 
 
Výpočet:
   

Kapitola 4: Cvičení

  1. Proveďte kompletní hydraulický návrh oběžného kola vertikálního odstředivého čerpadla pro zadané parametry. Hydraulický návrh doplňte pevnostním návrhem válcového konce hřídele z materiálu 11 500 (vliv přídavného ohybu kompenzujte snížením dovoleného napětí v krutu na 50 %) a kontrolou pera na otlačení (pD = 90MPa) - návrh pera lze řešit i v Design Accelerator. Otáčky hřídele n = 1450 min-1. Čerpaná kapalina je voda (ρ = 998 kg/m3). Další zadané parametry: objemový průtok Qv = X l/s, měrná energie Y = X J/kg, příkon P = X kW, celková účinnost ηc = X. Výpočet zpracujte v MS Excel.
  2. Dle vypočtených, resp. navržených parametrů vymodelujte vertikální odstředivé čerpadlo a vytvořte k němu výkres sestavení.

Kapitola 5: Kontrolní otázky

  1. Jaké výhody a nevýhody mají odstředivá čerpadla oproti ostatním typům čerpadel?
  2. Může sloužit vertikální odstředivé spirální čerpadlo i jako jiný stroj (jaký)?
  3. Jaké okolnosti negativně ovlivňují provoz odstředivého čerpadla?
  4. Z jakých materiálů se obvykle vyrábí oběžná kola?

Kapitola 6: Autotest

  1. Do jaké skupiny strojů se řadí odstředivá čerpadla?



     
  2. Jakou jednotku má měrná energie Y?



     
  3. Vertikální čerpadlo se skládá z části...



     
  4. Jaké jsou otáčky dvoupólového synchronního motoru?



     
  5. Co je to lucerna u čerpadla?



     

Lekce 3: Článková napaječka

Větší dopravní výšky si vyžadují všeobecně vícestupňová (článková) odstředivá čerpadla.

Kapitola 1: Princip funkce stroje a jeho použití

Větší dopravní výšky si vyžadují všeobecně vícestupňová (článková) odstředivá čerpadla. Tato čerpadla se vyznačují řazením více stejných oběžných a rozváděcích kol za sebou tak, že jimi protéká celé dopravované množství. Konečný tlak za posledním stupněm čerpadla je dán součtem přírůstků tlaků, dosaženými jednotlivými stupni čerpadla. Počet stupňů čerpadla je ovlivněn nejen dopravní výškou, ale i průtokem a otáčkami čerpadla, takže můžeme mít stejnou dopravní výšku, ale různý počet stupňů.
Pokud nám u jednostupňového čerpadla při zachování otáček vyjde hodnota větší než dvojnásobek vstupního průměru, musíme zvolit větší počet oběžných kol, a tím se stává z jednostupňového čerpadla čerpadlo vícestupňové.
 
Stator
Stator se skládá z tělesa sacího a výtlačného. Mezi těmito tělesy jsou uložena tělesa článků s rozváděcími koly a tento celek je stažen stahovacími šrouby. Tyto šrouby musí být dimenzovány na ten nejvyšší tlak, kterého může být dosaženo uvnitř čerpadla, aby se dostatečně přitlačovaly styčné těsnící plochy.
 
Rotor
Rotor čerpadla se skládá z hřídele s upevněnými oběžnými koly. Hřídel je uložena v ložiscích, která mohou být valivá či kluzná. Axiální síla bývá dle provedení čerpadla zachycena buď přímo valivým ložiskem nebo vyrovnána hydraulickým vyrovnávacím kotoučem (u velkých průmyslových čerpadel). Valivá ložiska se používají u menšího zatížení, kde je axiální síla částečně vyrovnána otvory v oběžných kolech. Při velkých dopravních výškách vzniká větší axiální síla a tu musíme regulovat hydraulickým odlehčovacím kotoučem (tento způsob je možno použít pouze u čisté čerpané kapaliny). U znečištěných kapalin použijeme olejový hydraulický kotouč. K uložení rotoru se nejvíce používají kluzná nebo valivá ložiska (kuličková, válečková, atd.).
 
Uplatnění článkových čerpadel
Největší uplatnění mají v průmyslových a energetických provozech, především pak v kotelním hospodářství, v teplovodních zařízeních a soustavách přečerpávacích, cirkulačních, oběhových, napájecích atd., pro čerpání horké vody, kondenzátů i jiných čistých kapalin.

Kapitola 2: Základní části stroje

DWF - Článková napaječka
Flash animace postupů tvorby jednotlivých částí stroje
Obrázek: Celkový pohled na sestavené článkové čerpadlo   
Obrázek: Tříčtvrtinový řez článkové napaječky
Na čtvrtinovém řezu je zřejmé uspořádání jednotlivých článků. Proud kapaliny postupuje zprava doleva.
Obrázek: Oběžné kolo
Obrázek: Řez oběžným kolem
Obrázek: Uspořádání rotorové části - hřídel a oběžná kola
Obrázek: Difuzor
Obrázek: Článek čerpadla
Obrázek: Částečná sestava  

Kapitola 3: Návrh základních rozměrů pracovních částí

V dalším textu budete seznámeni s výpočtem oběžného kola odstředivého čerpadla. Pochopitelně se jedná o zjednodušený výpočet. V současné době se pro výpočty velkých oběžných kol používají složité výpočetní programy.
Náš výpočet (příklad) je proveden pomocí tabulkového programu EXCEL.
 
 
 
 
 
 
 
 
 
 
      

Kapitola 4: Cvičení

  1. Proveďte návrh rozměrů oběžného kola (viz kapitola Návrh rozměrů pracovních částí) dle zadání. Výpočet zpracujte v MS Excel. Zadání: dle vyučujícího
  2. Dle vypočtených, resp. navržených parametrů vymodelujte oběžné kolo (3D) a vytvořte k němu výrobní výkres.

Kapitola 5: Kontrolní otázky

  1. K jakému účelu slouží článková napaječka a kde se s ní nejčastěji setkáme?
  2. Jaký význam má u článkové napaječky počet stupňů?
  3. Z jakých částí se skládá stator článkové napaječky?

Kapitola 6: Autotest

  1. Čím je dán konečný tlak u článkového čerpadla (za posledním stupněm)?



     
  2. Jak se nazývají části statoru umístěné mezi sacím a výtlačným tělesem?



     
  3. V jakých provozech se nejčastěji setkáme s článkovými napaječkami?



     
  4. Jakým způsobem navrhujeme rozměr válcového konce hřídele pro hřídel článkové napaječky?



     
  5. Jaká je měrná hmotnost (hustota) vody při běžném atmosferickém tlaku a teplotě 20°C?



     

Lekce 4: Literatura

  1. SKOPAL, V., ADÁMEK, J., HOFÍREK, M. Stavba a provoz strojů 4: Učeb. text pro 4. roč. stř. prům. šk. stroj. Konstrukční uspořádání, provoz a údržba strojů. 2. upr. vyd. Praha: SNTL, 1987.
  2. FOŘT, P., KLETEČKA, J. Autodesk Inventor: funkční navrhování v průmyslové praxi. 2. vyd. Brno: Computer Press, 2007. 318 s. ISBN 978-80-251-1773-6.
  3. Čerpadla. [online]. cit. [2010-10-24]. Dostupné z: .
  4. Čerpadla. [online]. cit. [2010-10-24]. Dostupné z: .
  5. Čerpadlo. [online]. cit. [2010-10-24]. Dostupné z: <http://cs.wikipedia.org/wiki/%C4%8Cerpadlo>.